在我们的生活中,塑料产品无处不在。塑料价格便宜且易于制造,它们通常非常耐用。不幸的是,这些好处对于环境来说也是一个可怕的消息,因为尽管有大量回收工作和公众活动在进行,塑料垃圾仍在继续堆积。
这种常见材料的最大问题之一是,即使是可回收塑料也不总是能够分解并再次使用。事实上,在回收过程之后,不到三分之一的可回收塑料被重新利用,其余的可与其他不可回收的垃圾一起被焚烧。由劳伦斯伯克利国家实验室(LBNL)的科学家领导的一项新的研究工作可以提供塑料形式的解决方案,从头开始设计为可完全回收利用。
该研究发表在《自然化学》杂志上。“大部分塑料没有被回收,”研究主要作者Peter Christensen在一份声明中说道。“但我们已经发现了一种组装塑料的新方法,从分子角度考虑回收利用。”
有许多障碍使回收塑料变得困难。该研究团队主要关心的是找到一种方法将塑料聚合物与各种添加剂分开,这些添加剂经常用于提供成品特定品质。这些化学品即使在加工后也经常粘附在塑料上,严重限制了可重新利用的材料的数量。
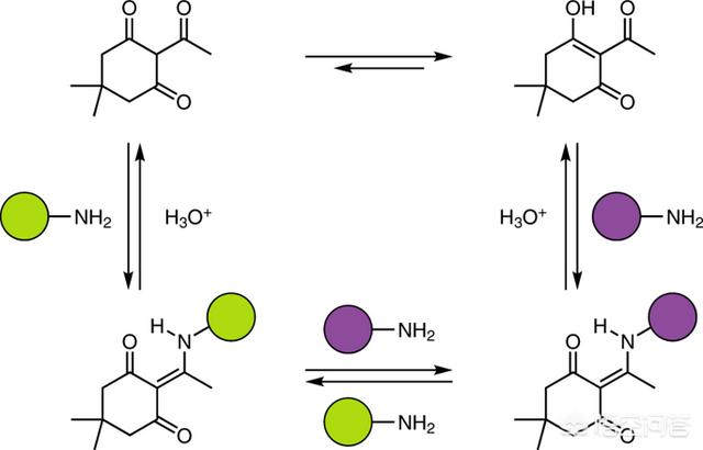
科学家开发了一种新型塑料材料,称为聚(二酮二胺),简称PDK。PDK与传统塑料的不同之处在于添加剂与其结合的方式,与目前在回收工厂堆积的塑料不同,PDK塑料与其他化学品形成的粘合剂可通过酸反转。简单地说,回收PDK塑料可以使基础材料与之后添加的任何其他化学品完全分离,PDK塑料中的单体设计更容易分开,从而使塑料具有新的“生命”。
研究人员计划未来用各种添加剂测试新塑料,以展示其潜力,同时确保它始终可以分解成最基本的形式并变成新的东西。

已解决