在相对论看来,运动参照系的时间相对于静止参照系过得更慢一些,而非题主所说的更快。但不管怎样,无论地球的运动速度有多快,地球上的人都不会觉得时间变慢了,因为时间快慢是两个参照系之间的比较结果。
在《流浪地球》的电影中,地球将会被加速到光速的0.5%,即1500公里/秒。然而,这个速度仍然不够接近光速,所产生的相对论效应并不显著。按照计划,如果不考虑相对论效应,地球需要2500年的时间才能到达4.2光年之外的比邻星。但考虑到时间膨胀效应,地球上的人所经历的时间会略少于2500年。
对于这种变加速运动过程,没有具体的数据,想要精确计算时间膨胀效应不切实际。这里以原著小说中给出的数据做个简单计算。根据小说中的设定,地球先经过500百年时间的加速达到光速的0.5%,然后依靠惯性滑行1300年的时间,之后再对地球进行500年的减速,最后再用200年的时间泊入环绕比邻星的轨道。
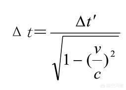
首先,在前500年(假设这500年是相对于最初地球参照系而言),假设地球做匀加速运动,其加速度大小约为0.000095米/平方秒。根据匀加速运动的钟慢效应公式,流浪地球所经历的时间大约为499.998年。
在中间1300年,假设地球做匀速运动,根据匀速运动的钟慢效应公式,流浪地球所经历的时间大约为1299.984年。
在后500年,假设地球做匀减速运动,流浪地球所经历的时间大约也是499.998年。在最后200年,相对论效应可以忽略。
因此,如果最初地球参照系计算出的旅行时间是2500年,那么,流浪地球实际所经历的时间大约为2499.98年,少了大约0.02年,即7.3天。但对于流浪地球上的人来说,他们不会感觉到时间过得变慢了,他们的寿命也不会变长,1秒的时间还是原来所感受到的那样长。
然而,如果最初考虑到相对论效应,计算出流浪地球所会经历的时间是2500年,那么,对于原先地球参照系来说,流浪地球抵达比邻星的时间会略多于2500年。
总之,对于这种速度还不够接近光速的运动,或者加速度太小的加速运动,相对论效应并不显著。

已解决